嗨,欢迎来到宝诺生物采购平台!
0757-85921206
我的订单
客户服务中心
购物车
搜索
可见异物
滤除率
可见异物特殊定制
全自动灯检机校准
容量分析
首页
产品中心
分析检测
标准物质(单标)
标准物质(混标)
标准品/对照品
药物杂质对照品
比色液
标准物质
鲎试剂
化学试剂
质控样品
气体
菌种
阴极灯
生命科学
生化试剂
培养基
血清
生物指示剂
试剂盒
计量器具
移液枪
移液枪
烧杯
密封塞子
试剂瓶
比色管
实验耗材
色谱耗材
分子生物
微生物学
生物通用耗材
身体防护
样品前处理
细胞培育
乳胶管
实验设备
搅拌分离
物理测定
称量分析
观察净化
生命科学
水质气体分析
箱体加热灭菌
其他
品牌中心
资质证书
新闻中心
企业资讯
行业资讯
积分商城
下载中心
目录下载
资质下载
证书下载
关于我们
公司简介
联系我们
当前位置:
首页
>
产品中心
>
分析检测
>
标准品/对照品
> 花椒油素
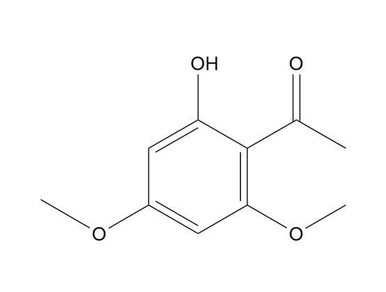
花椒油素
1周左右
目录价:
¥150.00
登录
后查看会员价
产品编号:ST79640120
CAS 号:90-24-4
品 牌:诗丹德
包装规格:20mg
特性量值:≥98.0%
有 效 期:见证书
库 存:≤50
货 期:
1周左右
分子量:196.20
分子式:C10H12O4
支付方式:
网上支付
银行转账
支付宝
微信
-
+
加入购物车
收藏商品
说明书
规格参数
售后服务
性状
/
化学分类
/
熔点
82°C
溶解性
溶于甲醇、DMSO
沸点
307°C
存储条件
2-8℃
密度
/
植物来源
艾纳香、花椒
上一个:
地黄新萜
下一个:
花椒油素(分析标准品)
首页
电话
购物车
会员